
森林是陆地生态系统的主体,在全球碳循环、水循环及气候变化中具有重要作用。卫星遥感具有大范围提取植被参数和监测森林健康状态的优势。随着越来越多的高分卫星发射升空,这为开展高空间分辨率(优于10 m)研究提供了丰富的数据源。目前,高分研究集中于植被冠层分类、结构信息提取等属性信息或空间几何信息方面,而相关的辐射传输建模和植被参数精细化提取等定量研究则相对较少。这主要是因为在高分情形下,邻近像元会对目标像元产生不可忽略的辐射影响,因此过往只考虑目标像元内部辐射传输过程、对冠层结构采用了简化假设的经典物理模型将不足以支撑高分尺度的定量研究。针对既有不足,本研究提出了提出高空间分辨率森林冠层反射率模型APPLE-GO(considering the shading effects of Adjacent Pixels using Path Length Extended Geometric Optical theory),综合考虑了邻近像元对目标像元的遮阴效应和交叉辐射影响。
假设传感器垂直观测,如图1所示为高分场景下,考虑邻近效应前后的辐射传输过程示意。邻近像元对单次散射的影响表现为遮阴效应(黄色虚线),对多次散射的影响主要表现为交叉辐射(绿色虚线)。

图1 不考虑(a)和考虑(b)邻近像元辐射影响时的辐射传输过程示意
对于单次散射项,本研究引入二维路径长度分布(two dimensional path distribution, 2-PLD)方法计算各组分的面积比例。考虑邻近像元影响后,邻近树木的遮阴效应会引起目标像元单次散射BRF降低,对此本研究引入遮蔽因子定量计算邻近像元导致的光照组分面积比例减少量(图2)。

图2 只考虑目标像元(a,b)和考虑邻近像元遮阴效应后(c,d)场景内四分量分布
对于多次散射项,基于光谱不变理论计算不考虑邻近像元影响时目标像元的多次散射贡献,并通过八邻域卷积算法估算邻近像元的多次散射影响。APPLE-GO模型的计算流程图参见下图2.

图3 APPLE-GO模型计算流程图
将APPLE-GO模型计算的BRF与三维辐射传输模型LESS进行对比评估,得到红光和近红外波段的RMSE分别为0.008和0.054(图4)。该模型还通过卫星观测数据进行了验证,在可见光波段,落叶松林的RMSE低于0.01,混交林的RMSE低于0.017.

图4 APPLE-GO模型与LESS模型计算的高分像元BRF对比散点图
将APPLE-GO模型与3个经典模型:SAILH、4尺度模型、统一模型进行交叉对比,结果如图5所示。由图可知,在高分情况下,经典模型输出结果与LESS模型存在明显偏离,而APPLE-GO模型则能与之吻合得很好。这些结果表明,APPLE-GO模型能够准确计算天底观测方向的BRF,具有从高分辨率遥感影像中提取植被参数的潜力。

图5 APPLE-GO模型与经典模型的交叉比对图
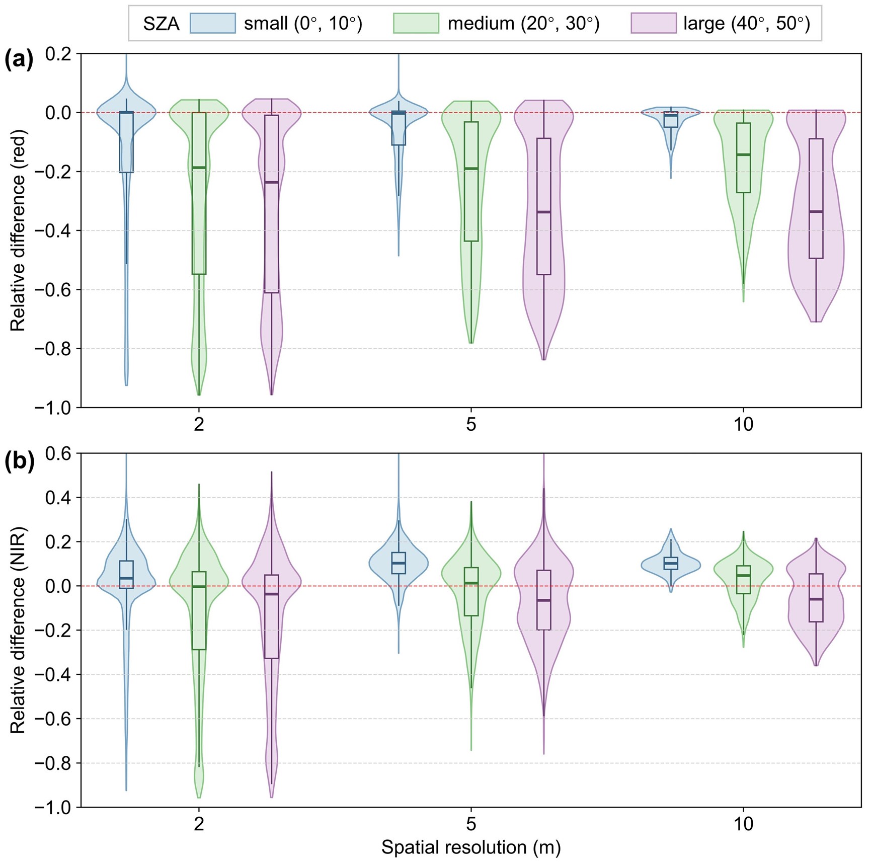
在高分场景中,邻近像元会对目标像元辐射值产生不可忽略的影响。只考虑目标像元时的BRFtar与考虑邻近像元影响后的BRFadj之间的相对差异会随着空间分辨率的提高、太阳天顶角的增大而增加(图6)。要准确量化邻近像素的辐射影响,必须对冠层几何特征进行精准表征。APPLE-GO模型采用的2-PLD方法将三维冠层信息压缩为二维矩阵,为冠层结构参数化提供了高效精确的工具。

图6 BRFtar(只考虑目标像元)与BRFadj(考虑邻近像元)之间的相对差异小提琴图
上述研究成果以“APPLE-GO: Modeling high-spatial resolution forest canopy reflectance with effect of Adjacent Pixels using Path Length Extended Geometric Optical theory”为题,在线发表于Remote Sensing of Environment期刊,北大遥感所博士生贺群超和杨斯棋为共同第一作者,范闻捷研究员为论文通讯作者。该研究得到了国家自然科学基金重点项目(42130104)资助。
原文链接:https://www.sciencedirect.com/science/article/pii/S003442572500447X
文献引用:Qunchao He, Siqi Yang, Naijie Peng, Wenjie Fan*, Xihan Mu, Biao Cao, Dechao Zhai, Zhicheng Huang, Huazhong Ren, and Guangjian Yan. APPLE-GO: Modeling high-spatial resolution forest canopy reflectance with effect of Adjacent Pixels using Path Length Extended Geometric Optical theory. Remote Sensing of Environment, 2025, 331, 115043, doi: 10.1016/j.rse.2025.115043.
联系方式:范闻捷 fanwj@pku.edu.cn

